MATEMATICAS FINANCIERAS

MATEMATICAS FINANCIERAS

viernes, 22 de mayo de 2015

PRUEBA FINAL Y ACTIVIDAD TEMA 4

1.                   ¿Qué es una anualidad?  Dé un ejemplo de la vida cotidiana.

2.                   ¿Qué es una TIR?  Dé un ejemplo.

3.                   ¿Qué diferencia existe entre la TIR y la VPN?

4.                   ¿Qué entiende usted por amortización?

5.                   ¿Qué diferencia existe entre depreciación y amortización?

ACTIVIDAD



Consulta en el mercado los diferentes planes de financiación en la venta de electrodomésticos (tasa, valor de contado y número de cuotas) de Flamingo, al Kosto, Multicompras, Navarro Ospina y cualquier otro almacén que pertenece a tu ciudad que planes ofrece.

Deben publicar sus respuestas.

TEMA 4 EJERCICIOS POR TEMAS

Ejercicios Sobre Anualidades y Amortizaciones


1.    Una empresa vende pianos con una cuota inicial de $300.000 y 12 cuotas mensuales de $200.000 cada una si opera a una tasa del 24% con capitalización mensual. Hallar el valor de contado.

2.   Una cooperativa ofrece un préstamo de $3.000.000 a tres años a una tasa del 26% capitalizable bimestralmente y usted puede cancelarlo por medio de cuotas mensuales iguales. Hallar el valor de cada cuota.

3.       El propietario de un apartamento tiene las siguientes alternativas:

venderlo de contado por $70.000.000
Arrendarlo: Condiciones:
canon de arrendamiento de $500.000 mes vencido durante 4 años 
vendérselo al aquilino por $60.000.000 si la tasa es del 36% capitalizable mensualmente.

Cual decisión debe tomar?

Para comprar un computador el cliente tiene las siguientes opciones:

 Comprar a crédito así cuota inicial de $400.000 y 12 cuotas mensuales de $100.000 cada una.



         Comprar de contado valor $1.500.000

4.       Un vehículo tiene un valor de contado de $40.000.000 y se adquiere financiado con el 30% de cuota inicial y el resto en 36 cuotas iguales mensuales. Calcular el valor de las cuotas si la primera se paga al final del mes 4. La tasa de financiación es del 28% capitalizable mensualmente.


 Los intereses durante el periodo de gracia se cancelan mensualmente.
  


         Los intereses no se cancelan durante el periodo de gracia.


Se pide calcular el valor a pagar en el mes 4.

Ejercicios sobre Evaluacion de Alternativas de Inversion

1.      Carlos compra un apartamento por $50.000.000 y espera arrendarlo por $1.000.000 pagaderos de forma vencida al partir del primer mes y durante 36 meses, cuando espera venderlo por $70.000.000. Si su tasa de oportunidad es del 3% mensual. ¿Hizo un buen negocio?

2.  Un electrodoméstico tiene un precio de contado de $2.000.000 se financia en 20 cuotas mensuales anticipada de $130.515,93. ¿Qué tasa de interés mensual cobraron por la financiación?

3.      Una empresa transportadora desea adquirir una tractomula por un valor de $200.000.000. La empresa la utilizaría durante 5 cuando espera venderla por $120.000.000. Se esperan beneficios anuales de $20.000.000 y unos costos de mantenimiento de $8.000.000. Si la tasa de oportunidad de la empresa transportadora es del 15% anual. Se recomienda la compra de la tractomula.

4.      El banco BBVA otorga un crédito de $50.000.000 a una tasa del 24% anual con capitalización trimestral plazo un año. La deuda debe ser cancelada en cuatro cuotas iguales de $12.500.000 por trimestres vencidos, más los intereses sobre saldos. El banco cada vez que recibe las cuotas trimestrales conformadas por los intereses y la cuota de amortización de la deuda, los reinvierte a una tasa del 8% trimestral calcular la TIR y la VPN si la tasa de oportunidad es del 6% trimestre vencido.

5.      Se invierten un $1.000.000con la expectativa de recibir $200.0000 al final de cada uno de los siguientes 10 años. Calcular la VPN si la tasa de oportunidad es del 4% anual y hallar la TIR. 

Deben publicar las respuestas.

TEMA 4 ANUALIDADES Y EVALUACIÓN DE ALTERNATIVAS DE INVERSION

Son los diferentes planes de pago e inversiones en cuotas fijas o constantes, de manera periódica.

Consideraciones para que una serie de pagos sea una anualidad

1.       Todos los pagos deben de ser iguales.

2.       Todos los pagos deben de ser periódicos.

3.    Todos los pagos son llevados al principio o al final de la serie, a la misma tasa, a un valor equivalente, es decir la anualidad debe tener un valor presente equivalente o un valor futuro equivalente.

4.       El número de pagos debe ser igual al número de períodos. 

Anualidad Vencida

Es aquella en que los pagos se hacen la final de un período.

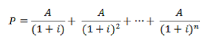
1.  Valor presente de una anualidad vencida

Es el valor ubicado en el período anterior al período de la fecha del primer pago, equivalente a una serie de pagos iguales y periódicos, es decir, la suma de todos los valores presentes de todos los pagos.





El valor dentro del corchete se llama el factor del valor presente de una serie uniforme

N: Es el número de pagos

A: Valor de cada pago

P: Es el valor presente de una serie de pagos iguales y periódicos

I: La tasa de interés.

2.       Valor de la cuota en función del valor presente 



El valor entre corchetes se denomina factor de recuperación de capital.


3.       Valor Futuro de una Anualidad Vencida


Es un valor ubicado en la fecha del último pago, equivalente a toda la serie de pagos iguales y periódicos, es decir, es el valor que resulta de sumar todos los valores llevados al futuro.



El valor entre corchetes se denomina cantidad compuesta de una serie uniforme.

4.       Valor de una cuota en función del valor futuro 


        El valor entre corchetes se denomina fondo de amortización.


Cálculo del tiempo de negociación

Es el número de cuotas necesarias para amortizar una obligación. Cuando se trabaja con anualidades vencidas, el tiempo de operación medido en número de períodos, algunas veces coincide con el número de pagos el cual no siempre se cumple.



Anualidad Anticipada

En ésta, los pagos se hacen al principio de cada período, se puede presentar como ejemplos de anualidad anticipadas los pagos arrendamientos anticipados, las cuotas anticipadas por el financiamiento de un electrodoméstico.

1.       Valor presente de una anualidad anticipada. 



2.       Valor futuro de una anualidad anticipada 


3.       Valor de una cuota en una anualidad anticipada


4.     Cálculo del tiempo de negociación

Es el número de pagos pagaderos cada uno al principio del período y que son necesarios para amortizar una obligación, este se puede calcular en función del valor presente o del valor futuro.

En función del valor presente


En función del valor futuro



Evaluación de Alternativas de Inversión


Una inversión es una asignación de recursos en el presente con el fin de obtener unos beneficios en el futuro. No solo se entiende como inversión el desembolso de dinero sino también el tiempo de que alguien dedica a la capacitación en un campo especifico del saber.

Todo inversionista frente una inversión lo primero que se pregunta es: ¿Me convendrá dicha inversión? Para que esto sea una realidad es necesario recuperar la inversión inicial y obtener unos excedentes (intereses); estos deben de superar la tasa de oportunidad, este debe superar la tasa que el inversionista está acostumbrado a manejar (tasa de oportunidad del inversionista).

Existen dos métodos de aceptación universal para evaluar proyectos de inversión:

Valor presente neto (VPN).

La tasa interna de retorno (TIR).

Los fondos requeridos para cubrir la inversión inicial pueden provenir de diferentes fuentes:

1)      Recursos propios.

2)      Préstamo de terceros.

3)      Combinación de recursos propios y préstamo de terceros.

1.    Valor presente neto (VPN)

Es una cifra monetaria que se obtiene al comparar el valor presente de los ingresos con el valor presente de los egresos en una misma fecha determinada.

Para que una empresa permanezca en el mercado se requiere que, éstas en un largo plazo, sean rentables y líquidas.

La ecuación para calcular el valor presente neto es:




VPN: Valor presente neto.

TO. Tasa de oportunidad.

VPI: Valor presente de los ingresos.

VPE: Valor presente de los egresos.


Donde

P: a la inversión inicial.

FNE: Flujo neto de efectivo.

T.O.: Tasa de oportunidad (costo de dinero).

2.    Criterios para seleccionar alternativas de acuerdo al VPN:

1.       Cuando el VPN es mayor que cero la alternativa se debe ACEPTAR.

2.       Cuando es igual a cero es indiferente aceptar o no la alternativa.

3.       Cuando el VPN es menor que cero se debe de rechazar.

3. La tasa interna de retorno (TIR)

Al analizar el VPN este se hace de acuerdo a una tasa de oportunidad del inversionista, esto quiere decir que para dos inversionistas a y b, para a con una tasa de oportunidad del 10% y b con una tasa de oportunidad de 15% es posible que un proyecto sea llamativo para ambos inversionistas, o solo para uno de ellos, o para ninguno.

La TIR es la tasa de interés que hace el VPN=0, es decir, el valor presente de los flujos descontados sea igual a la inversión inicial.

La TIR también se puede interpretar como la MAXIMA TASA de interés a la que un inversionista estaría dispuesto a obtener un préstamo, para financiar la totalidad del proyecto, pagando con los beneficios, los flujos netos de efectivo, la totalidad del capital prestado y sus intereses, sin perder un solo peso.







TEMA 4 PRUEBA INICIAL

A continuación encontrará una serie de enunciados con cuatro respuestas, de las cuales una sola es verdadera.

Marque con una X la que usted considere correcta.

1.      Un vehículo cuesta $20.000.000 si se desea comprar en las siguientes condiciones así cuota inicial 10% y 12 cuotas mensuales con un interés del 2% mensual. Hallar el valor de cada cuota:

         $1.450.000       b. $1.853.200                c. $1.702.072  d.$1.653.260


2.    Si deseo ahorrar mes a mes $50.000 en una corporación que paga el 1.5% mensual. Cuánto dinero recibiré al final del mes 10.


a. 485.728
b. 535.136
c. 546.728
d.556.325

3.    Se adquiere una deuda de $1.000.000 plazo un año. Con una tasa del 3% mensual, con cuotas mensuales de $100.462,08 si se han cancelado cuatro cuotas. Cuanto es valor del saldo insoluto?


a.  1.200.000          b.1.224.083,25              c.1.194.052,23             d.1.300.000

Deben publicar sus resultados.

PRUEBA FINAL Y ACTIVIDAD TEMA 3

1.                   ¿Qué es una tasa de interés nominal? Dé un ejemplo

2.                   ¿Qué es una tasa de interés efectiva? Dé un ejemplo

3.                   ¿Qué diferencia existe entre una tasa de interés nominal y una tasa de interés efectiva?

4.                   ¿Qué entiende usted por periodo de capitalización de intereses?

5.                   ¿Qué diferencia existe entre capitalización vencida y anticipada?

6.                   ¿Qué es inflación?

7.                   ¿Qué es devaluación?

8.                   ¿Cómo influye la inflación y la devaluación en la rentabilidad?

9.                   Cite algunas causas de la inflación

ACTIVIDAD

Usted va a invertir $10.000.000 en un CDT y va a analizar donde es más rentable y solicitará información en 3 entidades financieras:

Plazo, tasa de interés, forma de pago, (debe decir al asesor de la entidad que los intereses se capitalicen periódicamente).

El estudiante debe solicitar la inversión a tasa fija y tasa variable, (DTF e IPC).


Con base en lo anterior se debe calcular la tasa nominal, efectiva, periódica, retención en la fuente y el valor a recibir (VF) después de impuestos.

Deben publicar sus respuestas.